Você acessou como visitante
Acessar
Página inicial
Painel
Português - Brasil (pt_br)
English (en)
Português - Brasil (pt_br)
Você acessou como visitante
Acessar
Search
Close
Search
Toggle search input
Página inicial
Página inicial
Cursos
9º ano - M
III. NÚMEROS E OPERAÇÕES, ALGÉBRA E FUNÇÕES
D35 Identificar a relação entre as representações algébricas e geométricas de um sistema de equações do 1 grau
M259Q02D35
Banco de Itens - Matemática - 9º ano
Ir para o conteúdo principal
Página
M259Q02D35
M259Q02D35
Condições de conclusão
QUESTÃO
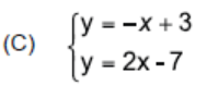
Observe o gráfico abaixo.
O gráfico representa o sistema:
Gabarito: B
Última atualização: segunda-feira, 24 nov 2025, 15:34
← M259Q01D35
Jump to...:
1. M259Q01D12
2. M259Q02D12
3. M259Q03D12
4. M259Q04D12
5. M259Q05D12
6. M259Q01D13
7. M259Q02D13
8. M259Q03D13
9. M259Q04D13
10. M259Q05D13
11. M259Q01D14
12. M259Q02D14
13. M259Q03D14
14. M259Q04D14
15. M259Q05D14
16. M259Q01D15
17. M259Q02D15
18. M259Q03D15
19. M259Q04D15
20. M259Q05D15
21. M259Q01D1
22. M259Q02D1
23. M259Q03D1
24. M259Q04D1
25. M259Q05D1
26. M259Q01D10
27. M259Q02D10
28. M259Q03D10
29. M259Q04D10
30. M259Q05D10
31. M259Q01D11
32. M259Q02D11
33. M259Q03D11
34. M259Q04D11
35. M259Q05D11
36. M259Q01D2
37. M259Q02D2
38. M259Q03D2
39. M259Q04D2
40. M259Q05D2
41. M259Q01D3
42. M259Q02D3
43. M259Q03D3
44. M259Q04D3
45. M259Q05D3
46. M259Q01D4
47. M259Q02D4
48. M259Q03D4
49. M259Q04D4
50. M259Q05D4
51. M259Q06D4
52. M259Q01D5
53. M259Q02D5
54. M259Q03D5
55. M259Q04D5
56. M259Q05D5
57. M259Q01D6
58. M259Q02D6
59. M259Q03D6
60. M259Q04D6
61. M259Q05D6
62. M259Q01D7
63. M259Q02D7
64. M259Q03D7
65. M259Q04D7
66. M259Q05D7
67. M259Q01D8
68. M259Q02D8
69. M259Q03D8
70. M259Q04D8
71. M259Q05D8
72. M259Q01D9
73. M259Q02D9
74. M259Q03D9
75. M259Q04D9
76. M259Q05D9
77. M259Q01D16
78. M259Q02D16
79. M259Q05D16
80. M259Q05D16
81. M259Q05D16
82. M259Q01D20
83. M259Q02D20
84. M259Q03D20
85. M259Q04D20
86. M259Q05D20
87. M259Q01D21
88. M259Q02D21
89. M259Q03D21
90. M259Q04D21
91. M259Q05D21
92. M259Q01D22
93. M259Q02D22
94. M259Q03D22
95. M259Q04D22
96. M259Q05D22
97. M259Q01D23
98. M259Q02D23
99. M259Q03D23
100. M259Q04D23
101. M259Q05D23
102. M259Q01D24
103. M259Q02D24
104. M259Q03D24
105. M259Q04D24
106. M259Q05D24
107. M259Q01D25
108. M259Q02D25
109. M259Q03D25
110. M259Q04D25
111. M259Q05D25
112. M259Q01D26
113. M259Q02D26
114. M259Q03D26
115. M259Q04D26
116. M259Q05D26
117. M259Q01D27
118. M259Q02D27
119. M259Q03D27
120. M259Q04D27
121. M259Q05D27
122. M259Q01D28
123. M259Q02D28
124. M259Q03D28
125. M259Q04D28
126. M259Q05D28
127. M259Q01D29
128. M259Q02D29
129. M259Q03D29
130. M259Q04D29
131. M259Q05D29
132. M259Q01D30
133. M259Q02D30
134. M259Q03D30
135. M259Q04D30
136. M259Q05D30
137. M259Q01D31
138. M259Q02D31
139. M259Q03D31
140. M259Q04D31
141. M259Q05D31
142. M259Q01D19
143. M259Q02D19
144. M259Q03D19
145. M259Q04D19
146. M259Q05D19
147. M259Q01D18
148. M259Q02D18
149. M259Q03D18
150. M259Q04D18
151. M259Q05D18
152. M259Q01D17
153. M259Q02D17
154. M259Q03D17
155. M259Q04D17
156. M259Q05D17
157. M259Q01D32
158. M259Q02D32
159. M259Q03D32
160. M259Q04D32
161. M259Q05D32
162. M259Q01D33
163. M259Q02D33
164. M259Q03D33
165. M259Q04D33
166. M259Q05D33
167. M259Q01D34
168. M259Q02D34
169. M259Q03D34
170. M259Q04D34
171. M259Q05D34
172. M259Q01D35
173. M259Q02D35
174. M259Q03D35
175. M259Q04D35
176. M259Q05D35
177. M259Q01D36
178. M259Q02D36
179. M259Q03D36
180. M259Q04D36
181. M259Q05D36
182. M259Q01D37
183. M259Q02D37
184. M259Q03D37
185. M259Q04D37
186. M259Q05D37
M259Q03D35 →